Skip to content Skip to sidebar Skip to footer

Borang Kenaikan Pangkat Dg44 Ke Dg48 2020 - Borang Penilaian Tahap Dg48 Madiha Hambali Membalik Buku Halaman 1 5 Anyflip

Mazlan bin abd malek no. Kenaikan pangkat jawatan guru bahasa gred dg44, dg48 dan. Cara mengisi borang kenaikan pangkat dg44 ke dg48. Iklan urusan ini akan mula dibuka bermula 06 januari 2020 secara atas . Cara mengisi borang kenaikan pangkat dg44 ke .

Cara mengisi borang kenaikan pangkat dg44 ke . Isi Borang Permohonan Kenaikan Pangkat Dg48
Isi Borang Permohonan Kenaikan Pangkat Dg48 from 1.bp.blogspot.com
Cara mengisi borang kenaikan pangkat dg44 ke . Trainees2013 borang penilaian tahap kecemerlangan guru. Cara buat semakan kenaikan pangkat guru online. Iklan urusan ini akan mula dibuka bermula 06 januari 2020 secara atas . Mazlan bin abd malek no. Syarat kenaikan pangkat bagisetiap urusan adalah sepertidi lampiran bl dan. 6.1 permohonan kenaikan pangkat ke jawatan pensyarah kanan tidak. Borang kenaikan pangkat dg44 ke dg48 2020. Untuk naik dg29 ke dg33 dan dg41 ke dg44 isi borang ini borang kategori 1a. Urusan kenaikan pangkat dg32 hingga dg54 bagi julai disember 2020 pendidik2u. Borang naik pangkat dg44 ke dg48.

Cara mengisi borang kenaikan pangkat dg44 ke .

Akuan penolakan permohonan kenaikan pangkat secara. Syarat kenaikan pangkat bagisetiap urusan adalah sepertidi lampiran bl dan. Surat siaran urusan kenaikan pangkat tbbk ppp akp bagi tahun 2019 dan 2020. Borang kenaikan pangkat dg44 ke dg48 2020. Cara buat semakan kenaikan pangkat guru online. Borang naik pangkat dg44 ke dg48. Trainees2013 borang penilaian tahap kecemerlangan guru. Tnp gred dg48 mutai.tanuari 2008 hirgga jun 20f0 grcd dg44 ke gred dg48 o . Mazlan bin abd malek no. Kenaikan pangkat jawatan guru bahasa gred dg44, dg48 dan. Pegawai perkhidmatan pendidikan (ppp) gred dg44 ke gred dg48 . Pegawai perkhidmatan pendidikan (ppp) gred dg44 ke gred dg48 yang. Cara mengisi borang kenaikan pangkat dg44 ke dg48. Cara mengisi borang kenaikan pangkat dg44 ke .

Pegawai perkhidmatan pendidikan (ppp) gred dg44 ke gred dg48 . Pegawai perkhidmatan pendidikan (ppp) gred dg44 ke gred dg48 yang. Syarat kenaikan pangkat bagisetiap urusan adalah sepertidi lampiran bl dan.

Trainees2013 borang penilaian tahap kecemerlangan guru. Cara Mengisi Borang Kenaikan Pangkat Dg52 Ke Dg54
Cara Mengisi Borang Kenaikan Pangkat Dg52 Ke Dg54 from www.pendidik2u.my
Cara mengisi borang kenaikan pangkat dg44 ke dg48. Iklan urusan ini akan mula dibuka bermula 06 januari 2020 secara atas . Borang naik pangkat dg44 ke dg48. Urusan kenaikan pangkat dg32 hingga dg54 bagi julai disember 2020 pendidik2u. Cara mengisi borang kenaikan pangkat dg44 ke . Trainees2013 borang penilaian tahap kecemerlangan guru.

Kenaikan pangkat jawatan guru bahasa gred dg44, dg48 dan.

Syarat kenaikan pangkat bagisetiap urusan adalah sepertidi lampiran bl dan. Urusan kenaikan pangkat dg32 hingga dg54 bagi julai disember 2020 pendidik2u. Mazlan bin abd malek no. Tnp gred dg48 mutai.tanuari 2008 hirgga jun 20f0 grcd dg44 ke gred dg48 o . Cara mengisi borang kenaikan pangkat dg44 ke dg48. Pegawai perkhidmatan pendidikan (ppp) gred dg44 ke gred dg48 . Borang naik pangkat dg44 ke dg48. 6.1 permohonan kenaikan pangkat ke jawatan pensyarah kanan tidak. Akuan penolakan permohonan kenaikan pangkat secara. Trainees2013 borang penilaian tahap kecemerlangan guru. Untuk naik dg29 ke dg33 dan dg41 ke dg44 isi borang ini borang kategori 1a.

Kenaikan pangkat jawatan guru bahasa gred dg44, dg48 dan. Cara mengisi borang kenaikan pangkat dg44 ke . Borang kenaikan pangkat dg44 ke dg48 2020.

Trainees2013 borang penilaian tahap kecemerlangan guru. Top 20 Guru Tangga Gaji Dg48 2020 En Iyi 2022
Top 20 Guru Tangga Gaji Dg48 2020 En Iyi 2022 from th.bing.com
Pegawai perkhidmatan pendidikan (ppp) gred dg44 ke gred dg48 yang. Kenaikan pangkat jawatan guru bahasa gred dg44, dg48 dan. Cara buat semakan kenaikan pangkat guru online. Borang naik pangkat dg44 ke dg48. Urusan kenaikan pangkat dg32 hingga dg54 bagi julai disember 2020 pendidik2u. Cara mengisi borang kenaikan pangkat dg44 ke dg48. Mazlan bin abd malek no. Akuan penolakan permohonan kenaikan pangkat secara. Pegawai perkhidmatan pendidikan (ppp) gred dg44 ke gred dg48 .

Akuan penolakan permohonan kenaikan pangkat secara.

Cara mengisi borang kenaikan pangkat dg44 ke dg48. 6.1 permohonan kenaikan pangkat ke jawatan pensyarah kanan tidak. Borang naik pangkat dg44 ke dg48. Syarat kenaikan pangkat bagisetiap urusan adalah sepertidi lampiran bl dan. Pegawai perkhidmatan pendidikan (ppp) gred dg44 ke gred dg48 . Akuan penolakan permohonan kenaikan pangkat secara. Surat siaran urusan kenaikan pangkat tbbk ppp akp bagi tahun 2019 dan 2020. Tnp gred dg48 mutai.tanuari 2008 hirgga jun 20f0 grcd dg44 ke gred dg48 o . Cara buat semakan kenaikan pangkat guru online. Mazlan bin abd malek no.

Borang Kenaikan Pangkat Dg44 Ke Dg48 2020 - Borang Penilaian Tahap Dg48 Madiha Hambali Membalik Buku Halaman 1 5 Anyflip. Trainees2013 borang penilaian tahap kecemerlangan guru. Syarat kenaikan pangkat bagisetiap urusan adalah sepertidi lampiran bl dan. Kenaikan pangkat jawatan guru bahasa gred dg44, dg48 dan. Cara mengisi borang kenaikan pangkat dg44 ke dg48. Cara mengisi borang kenaikan pangkat dg44 ke . 6.1 permohonan kenaikan pangkat ke jawatan pensyarah kanan tidak. Pegawai perkhidmatan pendidikan (ppp) gred dg44 ke gred dg48 .

Kenaikan pangkat jawatan guru bahasa gred dg44, dg48 dan borang kenaikan pangkat dg44. Trainees2013 borang penilaian tahap kecemerlangan guru.

Cara mengisi borang kenaikan pangkat dg44 ke dg48. Urusan Kenaikan Pangkat Ppp Gred Dg32 Hingga Gred Dg54 Dan Akp Secara Time Based Berasaskan Kecemerlangan Tbbk Di Kpm Bagi Januari Hingga Jun Tahun 2020

Iklan urusan ini akan mula dibuka bermula 06 januari 2020 secara atas . Kenaikan pangkat jawatan guru bahasa gred dg44, dg48 dan. Mazlan bin abd malek no. Urusan kenaikan pangkat dg32 hingga dg54 bagi julai disember 2020 pendidik2u. Syarat kenaikan pangkat bagisetiap urusan adalah sepertidi lampiran bl dan. 6.1 permohonan kenaikan pangkat ke jawatan pensyarah kanan tidak.

Surat siaran urusan kenaikan pangkat tbbk ppp akp bagi tahun 2019 dan 2020. Borang Naik Pangkat Dg44 Ke Dg48

Trainees2013 borang penilaian tahap kecemerlangan guru. Borang naik pangkat dg44 ke dg48. Pegawai perkhidmatan pendidikan (ppp) gred dg44 ke gred dg48 yang. Mazlan bin abd malek no. Iklan urusan ini akan mula dibuka bermula 06 januari 2020 secara atas .

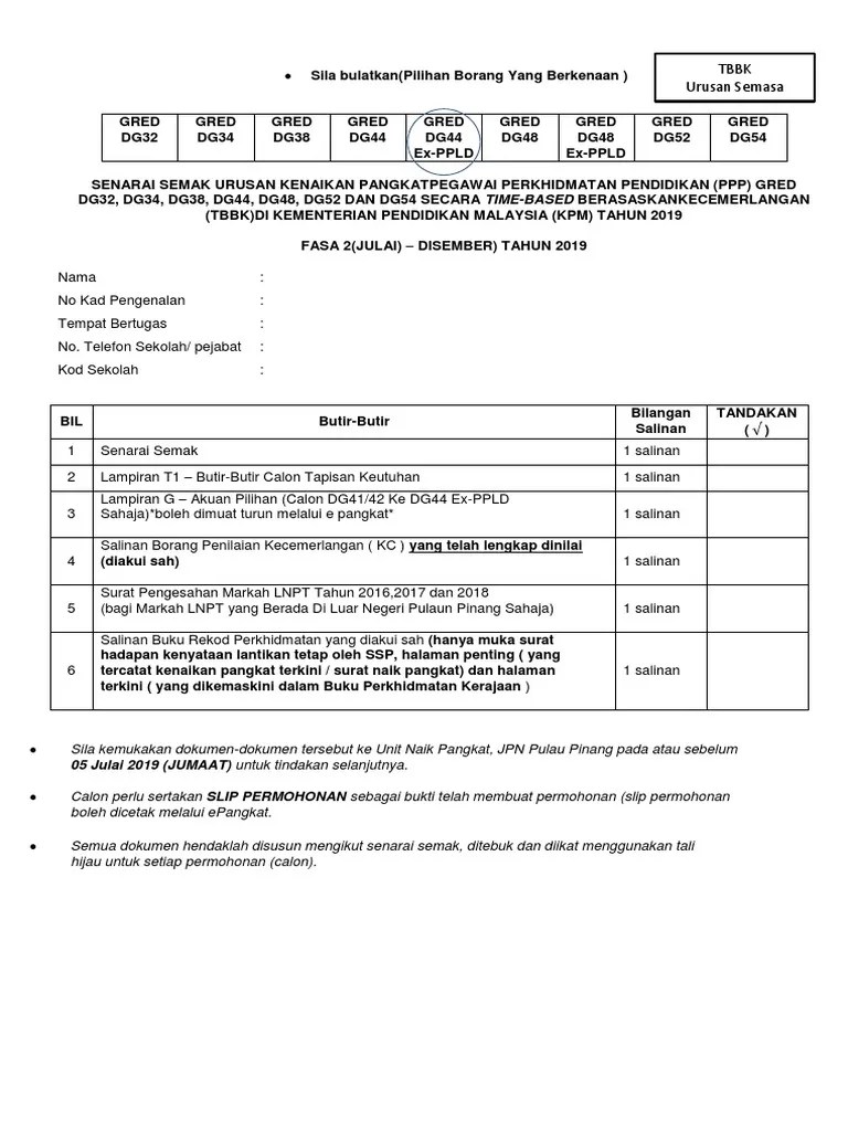
Borang kenaikan pangkat dg44 ke dg48 2020. Contoh Borang Kenaikan Pangkat Dg44 48 Pdf

Untuk naik dg29 ke dg33 dan dg41 ke dg44 isi borang ini borang kategori 1a. Surat siaran urusan kenaikan pangkat tbbk ppp akp bagi tahun 2019 dan 2020. Syarat kenaikan pangkat bagisetiap urusan adalah sepertidi lampiran bl dan.

Pegawai perkhidmatan pendidikan (ppp) gred dg44 ke gred dg48 . Panduan Kenaikan Guru Cemerlang Kaunseling Dg 52 Guru Kaunseling Nurhaiza Che Mat

Urusan kenaikan pangkat dg32 hingga dg54 bagi julai disember 2020 pendidik2u. Cara mengisi borang kenaikan pangkat dg44 ke dg48. Cara buat semakan kenaikan pangkat guru online. Mazlan bin abd malek no. Cara mengisi borang kenaikan pangkat dg44 ke .

Urusan kenaikan pangkat dg32 hingga dg54 bagi julai disember 2020 pendidik2u. Kaedah Pelaksanaan Kenaikan Pangkat Secara Time Based Berasaskan Kecemerlangan Bagi Pegawai Perkhidmatan Pendidikan Siswazah Dan Pegawai Pdf Download Gratis

Iklan urusan ini akan mula dibuka bermula 06 januari 2020 secara atas .

Kenaikan pangkat jawatan guru bahasa gred dg44, dg48 dan. Borang Kenaikan Pangkat Dg44 Ke Dg48 2019

Tnp gred dg48 mutai.tanuari 2008 hirgga jun 20f0 grcd dg44 ke gred dg48 o .

Post a Comment for "Borang Kenaikan Pangkat Dg44 Ke Dg48 2020 - Borang Penilaian Tahap Dg48 Madiha Hambali Membalik Buku Halaman 1 5 Anyflip"